Multiply Fraction in polynomial by a monomial: (x + 1)(x^2 - 2x + 3 + 1/(x+1))

Algebob

New member
Joined
Jun 6, 2023
Messages
6
Hi everyone,

I am multiplying a polynomial by a binomial.

When it comes to multiplying the fraction in the polynomial by the monomial ( which is one part of the original binomial) I always come up with the answer 0 to both of them.

So than, when I come to simplifying the polynomials into standard form, the last digit/monomial I always get the number 3.. whereas the correct answer should be 4.

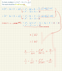
i have attached screenshot of all my working out below.

Could somebody analyse and clarify what I am doing incorrectly?

edit: I know there are some errors In the first working out, which is why I did a second written in red of that particular part. I still come to the answer 0 either way.



1707272200235.png
 
Last edited:
How do you get from [imath]\frac{x}{1}\cdot\frac{1}{x+1}[/imath] to 0 ? This does not look right.
 
How do you get from [imath]\frac{x}{1}\cdot\frac{1}{x+1}[/imath] to 0 ? This does not look right.
x (1 / x+1)

x / 1 * 1 / x+1

x*1 / 1*x + 1*1

1x / 1x + 1

0 / 1


that may be confusing.. i am just typing it out.. if this is incorrect, what is the correct method?

I have gone back through the chapter twice over, perhaps I need to go back to the foundations.
 
One error is here:
1707276011042.png
You can't cancel one term in a fraction; that is not how cancellation works. Cancelling means dividing the numerator and denominator by the same thing -- not dividing one term in each by the same thing.

As an example, it is not true that [imath]\frac{2}{2+3} = \frac{1}{1+3}[/imath]. The left side is 2/5, while the right side is 1/4.

Also, when you cancel all of something, that means you have divided it by itself, which would result in 1, not 0.

As for the overall problem, I would not distribute as you did. The point is to check the result of a division, which is not a polynomial but a "mixed polynomial", the last term of which is a fraction.

I would distribute [imath](x+1)(x^2-2x+3+\frac{1}{x+1})[/imath] first as [math](x+1)(x^2-2x+3+\frac{1}{x+1})=(x+1)(x^2-2x+3)+(x+1)(\frac{1}{x+1}),[/math] thinking of the second factor as a sum of a polynomial and a fraction.

That last part is simply [math]\frac{x+1}{1}\cdot\frac{1}{x+1}=\frac{x+1}{x+1}=1.[/math]
Then you can multiply the binomial and the trinomial as usual. The point is that the fraction is different enough to be handled separately, which saves a lot of complexity.
 
Consider 3/(3+4) = 3/7. I assume that you agree with that.

If you cancel out the two 3's, then you get 0/4=0

Just for the record, 3/3 is NOT 0, and x/x is not 0, so why are you replacing 3/3 with 0. 3/3 = 1 and x/x=1. So you made three errors, 1st by crossing out the threes and a 2nd and 3rd error by thinking that 3/3=0 and that x/x=0.

Please fix you mistakes and show us your new work.
 
\(\displaystyle x*\frac{1}{x+1} = \frac{x}{1}*\frac{1}{x+1} = \frac{x}{x+1}\)

\(\displaystyle 1*\frac{1}{x+1} = \frac{1}{1}*\frac{1}{x+1} = \frac{1}{x+1}\)

When you add these together, ie

\(\displaystyle \frac{x}{x+1} + \frac{1}{x+1}\) , what do you get?
 
Note that in algebraic fractions you can cancel FACTORS but not TERMS.

Factors are being multiplied, terms are being added (or subtracted).

So you CAN'T cancel the \(\displaystyle a\) 's in \(\displaystyle \frac{a}{a+b}\), but you CAN cancel the \(\displaystyle a\)'s in \(\displaystyle \frac{a}{a*b}\).

Note that in the second one you would be left with \(\displaystyle \frac{1}{b}\) NOT \(\displaystyle \frac{0}{b}\).
 
Top