Need help with an integral (maybe it's easy)

gcc00

New member
Joined
Jun 23, 2024
Messages
5
photo_2024-06-23_16-06-51.jpg
It should be done using the following rule:
photo_2024-06-23_16-09-29.jpg
Thanks in advance to anyone that wants to help
 
Hello. Where in the process do you need help? Please share what you've tried or explain why you're stuck. Thank you!

 
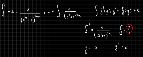
I'm stuck in this part (the red circle):
I cant seem to find an antiderivative for 1/((s^2+1)^(3/2))
Thanks in advance!
screenshot.png
 
I'm stuck in this part (the red circle):
I cant seem to find an antiderivative for 1/((s^2+1)^(3/2))
Thanks in advance!
View attachment 38237
Finding that antiderivative is exactly what the problem itself asks for! Making a substitution where g is the variable itself accomplishes nothing.

You are saying you are required to use what is commonly called u-substitution. If that is possible at all, it seems very unnatural. I would use a trig substitution instead. Have you learned that?
 
You really should know how to solve this integral.
Having said that, you are given some choices so you can always compute the derivative of each choice to see which derivative gives you back the integrand, -2/(s2+1)3/2.
 
I'm stuck in this part (the red circle):
I cant seem to find an antiderivative for 1/((s^2+1)^(3/2))
Thanks in advance!
View attachment 38237
In my opinion it is not possible to correctly made a u-substitution if you don't write the integral correctly. You failed to write the ds on your integrals! You need to rewrite each and every piece of the original integral in the new u language. If you leave off part of the integral, then you can't do that.
 
Top