NEED YOUR HELP (ASAP)

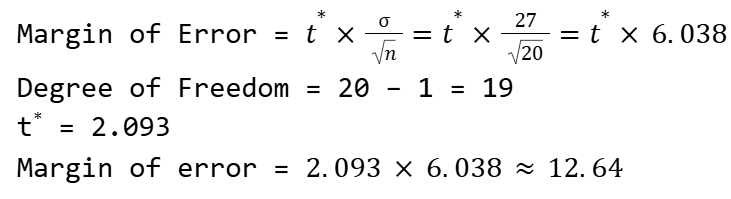
A process has been developed that can transform ordinary iron into a kind of super iron called metallic glass. Metallic glass is three to four times stronger than the toughest steel alloys. To estimate the mean temperature at which a particular type of metallic glass become brittle, 20 pieces of this material were randomly sampled from a recent production run. Each piece was subjected to higher and higher temperatures until it became brittle. The temperature at which brittleness first appeared was recorded for each piece in the sample. The results suggest that the average temperature at which brittleness first appeared is about 545 degrees Fahrenheit with a standard deviation of 27 degrees Fahrenheit. Calculate the length of the 95% confidence interval for the mean temperature at which a particular type of metallic glass becomes brittle. Round your answer to 4 decimal places.
Hello LUIWIGIII. Please see the guidelines below, and then reply with any efforts or thoughts concerning the first exercise. Please ask specific questions, so that tutors may understand something about what you already know and where you're stuck. We also ask students to start a new thread for each exercise. Thank you! ?

 
Question 1:
Capture.PNG


Question 2:
Capture.PNG



Question 3:
Capture.PNG


Question 4:
Capture.PNG

Are my answers near the ball park? Thanks.
 
Top