
I've got to non-dimensionalise the differential questions
By letting:
N=N0n
C=C0c
t=t0T
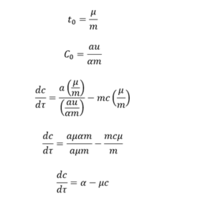
I managed to get the dc/dT equation by the following:

However I'm struggling with the dn/dT equation.
As far I've got to

It's just getting the left hand side of the equation correct, any help would be really useful, cheers