I think you are misunderstanding what "cline" means here. It is NOT a specific value of u or v. A "cline" is a line or curve. "u= 0" is not the number 0 but is the straight line in the uv plane of all points (0, v), the v-axis. The other "cline" is the parabola v= -u^2+ (1- a)u+ a.
I've got a new null cline question, I was wondering if you could confirm I have the correct clines:
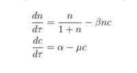
The equations are:

For the null clines I got:

Would be great if you could confirm whether this is correct or not.