ODE Systems with constant coefficients (doubts about a peculiar case).

qaaq2

New member
Joined
May 19, 2020
Messages
12
Greetings. I am studying for an exam on differential equation integration techniques. I find the ODE section to be straightforward enough although i have doubts as to how to solve a particular case for systems with constant coefficients. Sorry in advance for not knowing how to program the mathematics in nicely.

So, given a homogenous ODE system in R3 satisfying

y'=Ay (where y'=dy/dt and y are vectors in 3 dimensions, and A is a constant 3x3 matrix)

•y(0)=(2,1,1)
•A=
-1,0,0
0,1,0
-1,-1,1

So, i do the following:

1) Since is is a homogenous equation with constant coefficients, the fundamental matrix (the way i call the Wronksian) will he the exponent of the matrix A times t. A is not diagonal or nilpotent, and cannot be decomposed into 2 commutative matrices, 1 diagonal and one nilpotent. Therefore we shall have to see if we can make it diagonal.

2) Find eigenvalues and eigenvectors of A. I calculate the eigenvalues to be E1=-1 (miltiplicity 1) and E2=1 (multiplicity 2), giving associated eigenvectors V1(2,0,1)(associated to E1) and V2(0,0,1) (associated to E2). The dimension of the subspace created by the eigenvectors of E2 do not match the multiplicity of the eigenvalue and therefore i conclude that this matrix is "non diagonalizable".

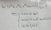
Here is where my issue is. Now, from the theory that I have studied i understand that, in this particular case, a base of the solution to the homogenous equation can be written thusly20200620_174932.jpgI amhaving trouble understanding the solution. Can i take these vectors, u v and w, to be any vectors which pertain to the nucleus of their respective applications? What doesit mean to subtract one "ker" of an application from another?

The solutions for each of those vectors are
u=(2,0,1)
v=(0,1,1)-(2-0-1)=(-2,1,0)
w=(4,0,1)

I notice here that u is just the eigenvector associated to E1 (obviously that by definition will pertain to the nucleus of the application (A-E1•IdentityMatrix). So, to obtain the second vector, v, am i good to just always subtract a vector pertaining to the first base? This is where I am confused.

Thank you for taking the time to read this, any help would be greatly appreciated!
 
I am so unsophisticated I prefer to deal with systems of equations rather than matrix equations!

The matrix equation \(\displaystyle y'= \begin{pmatrix}-1 & 0 & 0 \\ 0 & 1 & 0 \\ -1 & -1 & 1\end{pmatrix}y\) can be written as the system of equations (letting \(\displaystyle y= \begin{pmatrix}u \\ v \\ w \end{pmatrix}\))
u'= -u
v'= v
w'= u+ v+ w.

The first two equations are very easy. The first has "characteristic equation" r= -1 so general solution \(\displaystyle u= Ae^{-t}\). The second has "characteristic equation" r= 1 so general solution \(\displaystyle v= Be^t\). The third equation, then, is \(\displaystyle w'= Ae^{-t}+ Be^t+ w\). Its "associated homogeneous equation is \(\displaystyle w'= w\) which, like u, has general solution \(\displaystyle w= Ce^t\).

We need to add individual solutions for \(\displaystyle Ae^{-t}\) and \(\displaystyle Be^t\). The first is easy- we can write a solution as \(\displaystyle w= Pe^{-t}\) where we need to determine the value of P that will work.

Putting that into the equation \(\displaystyle w'= Ae^{-t}+ w\) gives \(\displaystyle -Pe^{-t}= Ae^{-t}+ Pe^{-t}\). That we can write as \(\displaystyle 3Pe^{-t}= -Ae^{-t}\) so \(\displaystyle P= -\frac{A}{3}\).

The second is a little harder because \(\displaystyle e^t\) is a solution to the associated homogeneous equation. Any constant times \(\displaystyle e^t\) will give 0 so cant be equal to [tex[Be^t[/tex]. Instead we try \(\displaystyle w= Qte^t\). Then \(\displaystyle w'= Qe^t+ Qte^t= Be^t+ Qte^t\). The \(\displaystyle Qte^t\) terms cancel leaving \(\displaystyle Qe^t= Be^t\) so Q= B. That gives \(\displaystyle w= Ce^t+ \frac{A}{3}e^{-t}+ Be^t\).

So \(\displaystyle u= Ae^{-t}\), \(\displaystyle v= Be^t\), and \(\displaystyle w= Ce^t+ \frac{A}{3}e^{-t}+ Bte^t\).

Now, we need to satisfy the conditions that u(0)= 2, v(0)= 1, w(0)= 1.
u(0)= Ae^0= A= 2.
v(0)= Be^0= B= 1.
w(0)= C+ A/3+ B= C+ 2/3+ 1= 1 so C= -2/3.
The solution is \(\displaystyle u(t)= 2e^{-t}\), \(\displaystyle v(t)=e^t\)] and \(\displaystyle w(t)= -(2/3)e^t+ (2/3)e^{-t}+ te^t\).
 
I see, breaking it down into its respective equations seems to be a more intuitive way to go about it. I will try to do this problem again later in both ways and see how my answer varies.

The problem is that I am taught to do it this particular way (basically comes down to reducing the problem to one case or another by analyzing whether or not the matrix can be made diagonal), and even though solving each of those ODEs is perhaps easier (as you have done nicely), i still am expected to know how to do it purely through matricial operations.

I suppose what I'm saying is that although i comprehend your solution, i still am curious as to what exactly needs to be done when solving this problem thunking about matrices and not each individual linear ODE.

Thank you very much for the reply!
 
So, ive attempted the problem again using the same method as before, and now i arrived at the "correct" answer according to the answer key. However, this answer cannot be right as it does not satisfy the original system of equations! This is quite confusing.

I'll leave a picture of the entire attempted solution from start to finish using this method, perhaps someone who uses or has used this method frequently might stumble across this post and fill me in on what i'm doing wrong here.
20200621_135718.jpg20200621_135730.jpg

Thanks again.
 
Top