john458776
New member
- Joined
- May 15, 2021
- Messages
- 48
I have a little problem.
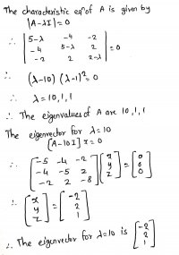
View attachment 32176

When I solve this problem I'm suppose to get the diagonal matrix that contain x : (10,1,1) diagonal.
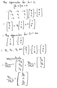
View attachment 32177

When I do multiplication on the 2nd row, 3rd column I don't get zero I get something like square root of 10 over 10 on the diagonal matrix, I dont know if i made a mistake somewhere or what but I tried multiple times. I don't know what might be the problem.
View attachment 32176

When I solve this problem I'm suppose to get the diagonal matrix that contain x : (10,1,1) diagonal.
View attachment 32177

When I do multiplication on the 2nd row, 3rd column I don't get zero I get something like square root of 10 over 10 on the diagonal matrix, I dont know if i made a mistake somewhere or what but I tried multiple times. I don't know what might be the problem.


