Q 2 Consider the integral expression in [imath]x[/imath]:
[imath]\qquad P = x^3 + x^2 + ax + 1[/imath]
...where [imath]a[/imath] is a rational number.
At [imath]a = \boxed{\; A \;}[/imath] the value of [imath]P[/imath] is a rational number for any [imath]x[/imath] which satisfies the equation [imath]x^2 + 2x - 2 = 0[/imath] and, in this case, the value of [imath]P[/imath] is [imath]\boxed{\; B \;}[/imath].
This is another problem i have never dealt with. I don't really know what i should start from.

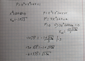
Above is all my progress so far. And i'm afraid i don't quite undertand the problem, and what i should do.
[imath]\qquad P = x^3 + x^2 + ax + 1[/imath]
...where [imath]a[/imath] is a rational number.
At [imath]a = \boxed{\; A \;}[/imath] the value of [imath]P[/imath] is a rational number for any [imath]x[/imath] which satisfies the equation [imath]x^2 + 2x - 2 = 0[/imath] and, in this case, the value of [imath]P[/imath] is [imath]\boxed{\; B \;}[/imath].
This is another problem i have never dealt with. I don't really know what i should start from.

Above is all my progress so far. And i'm afraid i don't quite undertand the problem, and what i should do.
Attachments
Last edited by a moderator: