indatshurt
New member
- Joined
 - Mar 31, 2021
 
- Messages
 - 1
 
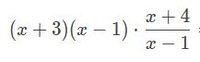
How does this:

Simplify to this?

What math skill am I lacking that is preventing me from seeing how picture 1 (top) can convert into picture 2(bottom)? Is it factoring? I can't see how the top picture turns into the bottom picture.
What should I work on that will help me see how the two images are related? On Khan Academy, the top picture converts into the bottom picture with no explanation and I'm confused as to how the top picture simplifies into the bottom picture.
Here's the full equation:

Which converts into:

As you can see, the right hand side of the equal sign is self-explanatory since you're just multiplying a fraction by it's denominator. The left side of the equal sign I'm confused about.
				
			
Simplify to this?
What math skill am I lacking that is preventing me from seeing how picture 1 (top) can convert into picture 2(bottom)? Is it factoring? I can't see how the top picture turns into the bottom picture.
What should I work on that will help me see how the two images are related? On Khan Academy, the top picture converts into the bottom picture with no explanation and I'm confused as to how the top picture simplifies into the bottom picture.
Here's the full equation:
Which converts into:
As you can see, the right hand side of the equal sign is self-explanatory since you're just multiplying a fraction by it's denominator. The left side of the equal sign I'm confused about.
			
				Last edited: