Very stuck on this problem where I have 3 events occurring within 170,000 years and I want to determine the mean return time 1/lamda which is uncertain and can be treated as a random variable. The answer is 68 ka mean 1/Lamda return time but I do not know how to get to this. Any help would be much appreciated.
The solution is supposed to acquired using a Poisson-Gamma model, but could also be done using a Monte Carlo analysis, though I am not sure how to do either with the current data. I have outlined the problem below:
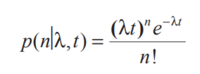
Each of the three events follow a stationary Poisson process where each event is independent from one another as stated below:
Where n=number of events; t = time; Lamda = rate parameter of the distribution.
Lamda can determined using Bayes theorem stating any parameter, set of empirical data that the posterior distribution is given by:

Phi = any parameter ; Z = set of empirical data
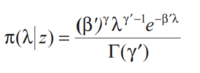
This is simplified using the Poisson-Gamma model choosing a prior probability that is a conjugate to the likelihood function L(z/phi). The Conjugate prior to the Poisson distribution is the Gamma distribution taking lamda as the random variable


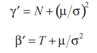
Where N = Event occurrence (3); T = Period of observation (170ka); Mu = best estimate of the mean for lamda and Sigma = Standard deviation for the rate parameter Lamda
I am unsure how to get simulations for lamda that would allow me to determine this.
The solution is supposed to acquired using a Poisson-Gamma model, but could also be done using a Monte Carlo analysis, though I am not sure how to do either with the current data. I have outlined the problem below:
Each of the three events follow a stationary Poisson process where each event is independent from one another as stated below:
Where n=number of events; t = time; Lamda = rate parameter of the distribution.
Lamda can determined using Bayes theorem stating any parameter, set of empirical data that the posterior distribution is given by:

Phi = any parameter ; Z = set of empirical data
This is simplified using the Poisson-Gamma model choosing a prior probability that is a conjugate to the likelihood function L(z/phi). The Conjugate prior to the Poisson distribution is the Gamma distribution taking lamda as the random variable


Where N = Event occurrence (3); T = Period of observation (170ka); Mu = best estimate of the mean for lamda and Sigma = Standard deviation for the rate parameter Lamda
I am unsure how to get simulations for lamda that would allow me to determine this.