JujiGatame
New member
- Joined
- Jun 12, 2021
- Messages
- 7
Hello everyone!
I am trying to solve this normal distribution task but I can't find mathematical expectation.
Here is the task:
The highest temperature in the Fahrenheit in one day in July in Antarctica corresponds to a Gaussian random variable with a variance of 225 F. With a probability of 0.5, the temperature T is greater than 10 degrees. What is the probability that the temperature is higher than 32 degrees?
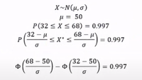
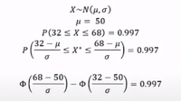
Here is picture where I stuck
I am trying to solve this normal distribution task but I can't find mathematical expectation.
Here is the task:
The highest temperature in the Fahrenheit in one day in July in Antarctica corresponds to a Gaussian random variable with a variance of 225 F. With a probability of 0.5, the temperature T is greater than 10 degrees. What is the probability that the temperature is higher than 32 degrees?
Here is picture where I stuck