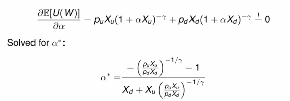
Problem with isolating x: partial-E[U,W]/partial-alpha = p_u X_u (1+alpha X_u)^{-gamma} + p_d X_d (1+alpha X_d)^{-gamma}

Anika

New member
Joined
Mar 5, 2024
Messages
1
Hey all,
Our proffesor just skiped over this in his lecture without explaining and i have been struggeling to solve this.
Any help is welcome ;)
 

Attachments

  • Algebra Problem.PNG
    Algebra Problem.PNG
    19 KB · Views: 6
  • Notes.jpeg
    Notes.jpeg
    95.9 KB · Views: 5
You can express [imath]\frac{1+\alpha X_u}{1+\alpha X_d}[/imath] through other variables, then solve for [imath]\alpha[/imath].
 
Top