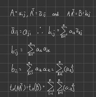
Hey, so my task is to prove that [MATH]tr(AA^T)=\sum_{i=1}^{n}\sum_{k=1}^{n}(a_{ik})^2 [/MATH]. In essence (in case my equality is incorrectly written, I need to prove that [MATH]tr(AA^T)[/MATH] is equal to the sum of all elements in A squared. This is what I have attempted.

But then I get stuck, not sure how to continue or even if I am on the right track.

But then I get stuck, not sure how to continue or even if I am on the right track.