Question about a Differential equation

Navid555

New member
Joined
Jan 17, 2022
Messages
6
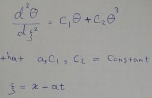
Hello. This a differential equation and i have some question about it.
1.is this ode type or pde?
2.how i should solve it? consider zeta defined with x and t parameter.
1642457448853.png
 
Hello. This a differential equation and i have some question about it.
1.is this ode type or pde?
2.how i should solve it? consider zeta defined with x and t parameter.
View attachment 30752
This is a Nonlinear second order ordinary differential equation. Have you studied Duffing's equation in vibration? If not use Google and look it up.

Please show us what you have tried and exactly where you are stuck.

Please follow the rules of posting in this forum, as enunciated at:


Please share your work/thoughts about this problem.
 
Last edited by a moderator:
We have \(\displaystyle \theta(\zeta(x,t))\).

The first derivative will be

\(\displaystyle \frac{d\theta}{d\zeta} = \frac{\partial \theta}{\partial x} \frac{dx}{d\zeta} + \frac{\partial \theta}{\partial t} \frac{dt}{d\zeta} = \frac{\partial \theta}{\partial x} - \frac{\partial \theta}{\partial t} \frac{1}{a}\)

The second derivative will be

\(\displaystyle \frac{d^2\theta}{d\zeta^2} = \frac{\partial}{\partial x}\left(\frac{\partial \theta}{\partial x} - \frac{\partial \theta}{\partial t} \frac{1}{a}\right)\frac{dx}{d\zeta} + \frac{\partial}{\partial t}\left(\frac{\partial \theta}{\partial x} - \frac{\partial \theta}{\partial t} \frac{1}{a}\right)\frac{dt}{d\zeta}\)

\(\displaystyle = \frac{\partial^2 \theta}{\partial x^2} - \frac{\partial^2 \theta}{\partial x\partial t} \frac{1}{a} - \frac{\partial^2 \theta}{\partial t\partial x}\frac{1}{a} + \frac{\partial^2 \theta}{\partial t^2} \frac{1}{a^2}\)

\(\displaystyle = \frac{\partial^2 \theta}{\partial x^2} - \frac{\partial^2 \theta}{\partial x\partial t}\frac{2}{a} + \frac{\partial^2 \theta}{\partial t^2} \frac{1}{a^2}\)

Substituting this in the original DE, you will get

\(\displaystyle \frac{\partial^2 \theta}{\partial x^2} - \frac{\partial^2 \theta}{\partial x\partial t}\frac{2}{a} + \frac{\partial^2 \theta}{\partial t^2} \frac{1}{a^2} = c_1\theta + c_2\theta^3\)
 
Top