Rectangular to Polar without Calculator

Dalmain

New member
Joined
Apr 15, 2021
Messages
19
Good Afternoon Everyone, hope you are all well.

I've been asked to convert a complex number from rectangular form to polar form, which I normally don't have an issue with, but they have said no calculators!!

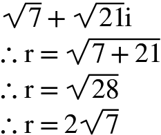
I have drawn the Argand diagram and worked out the modulus as below.

1656593889261.png

With the angle, I get as far as

1656593981761.png

Now the textbook shows the answer is

1656594171418.png

but I don't understand how to convert the square root of 3 to pi over 3 without using a calculator?

As always, any assistance is appreciated.
 

Attachments

  • 1656594206905.png
    1656594206905.png
    1.3 KB · Views: 1
Good Afternoon Everyone, hope you are all well.

I've been asked to convert a complex number from rectangular form to polar form, which I normally don't have an issue with, but they have said no calculators!!

I have drawn the Argand diagram and worked out the modulus as below.

View attachment 33260

With the angle, I get as far as

View attachment 33261

Now the textbook shows the answer is

View attachment 33262

but I don't understand how to convert the square root of 3 to pi over 3 without using a calculator?

As always, any assistance is appreciated.
You should have learned the trig functions of special angles, one of which is pi/3. You are expected to recognize that tan(pi/3) = sqrt(3):

 
Thank you again, Dr. Peterson. This wasn't covered in my module so I will learn it from the link you've attached. I think you are single-handedly going to get me through my diploma! Thank you again
 
Top