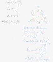
It asks to find shortest distance from A to line segment PC.
I know that this line must be perpedicular to PC, however, how can I deduce, by looking at the question intially, that the perpedicular line from A to PC will be on a point halfway of PC, (bisects PC)?
Attachments
Last edited:



