supercalifragilicious007
New member
- Joined
- Jan 5, 2023
- Messages
- 2
The wording of your title is odd; is that what the problem said, exactly? If not, please quote the instructions, using an image if necessary.
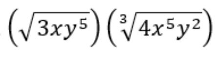
Hi SCFL007. After writing the given product as a single radical (a 6th root), the resulting radicand has no perfect root. Neither does the radical itself. We could extract only some 6th roots of x^13 and of y^19, and the numerical coefficient cannot be simplified to an Integer. ?extract the [perfect roots]
It sounds like what they are asking is to find the "least common radical" or some-such. We have a square root (n = 2) and a cube root (m = 3) so the LCM is 6. SoSimplify the following product into one radical. Then, extract the perfect nth roots inside the radical.View attachment 34735