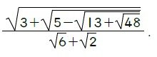
I want to simplify this surds which will be equal to 1/2 on my answer, but kinda stuck on how to start the process

I have two plans in mind :
1. by multiplying with conjugates, but I think it will mess up the numerator
2. I can still change root 48 into 4 root 3, but not sure what to do next?
can I get a hint or some opening steps on how to tackle this one?
Thank you

I have two plans in mind :
1. by multiplying with conjugates, but I think it will mess up the numerator
2. I can still change root 48 into 4 root 3, but not sure what to do next?
can I get a hint or some opening steps on how to tackle this one?
Thank you