Simplifying radicals: can’t identify the error I’m making

Audentes

Junior Member
Joined
Jun 8, 2020
Messages
187
hello everyone, I’m having trouble with the. Equations circled in blue. Don’t know what I’m doing wrong.
for #6 as an example, I square the top and bottom and I get 4 over 6, which is 2/3 but I checked that on the calculator and it’s not correct
for #22, I simplify to get ([MATH]sqrt[/MATH]18) over 15 which becomes (3[MATH]sqrt[/MATH]2) over 15.

thank you
flo
257E313B-903C-4F16-B147-CD144F087F87.jpeg
 
The mistake you're making with (6.) is that squaring the top and bottom changes the value of the expression. In other words, \[ \frac{2}{\sqrt{6}} \neq \frac{2^2}{\sqrt{6}^2} \]
To prove that this is true, try writing it in a different way, like this:
\[ \frac{2^2}{\sqrt{6}^2} = \frac{2}{\sqrt{6}} \cdot \frac{2}{\sqrt{6}} \neq \frac{2}{\sqrt{6}} \]
The correct way to simplify this problem is to "rationalize the denominator" without changing the value of the expression. To do this, multiply the expression by 1 in the form of \( \frac{ \sqrt{6} }{ \sqrt{6} } \). Multiplying by 1 allows you to manipulate the form of the expression without changing its value, like so:

\[ \frac{2}{\sqrt{6}} = \frac{2}{\sqrt{6}} \cdot \frac{ \sqrt{6} }{ \sqrt{6} } = \frac{2 \sqrt{6}}{6} = \frac{\sqrt{6}}{3} \]

You should be able to use a similar approach to solve the others. Hope this helps!
 
Last edited:
hello everyone, I’m having trouble with the. Equations circled in blue. Don’t know what I’m doing wrong.
for #6 as an example, I square the top and bottom and I get 4 over 6, which is 2/3 but I checked that on the calculator and it’s not correct
for #22, I simplify to get ([MATH]\sqrt{18}[/MATH]) over 15 which becomes (3[MATH]\sqrt{2}[/MATH]) over 15.

thank you
flo
View attachment 25485
Squaring a number doesn't simplify it; it changes it. If you square 2, you get 4, which is not the same number! Did you simplify \(\sqrt{32}\) by squaring it?

To simplify any fraction, you have to multiply or divide the numerator and denominator by the same number. In many of these cases, that can mean multiplying the numerator and denominator by the radical: For #6, multiply both by \(\sqrt{6}\). In some of these cases, you might be able to multiply by something less than the entire radical, but you don't have to.

So try again, and show your work for several problems so we can see if you've got it.

For examples, if your textbook doesn't explain this, see https://www.purplemath.com/modules/radicals5.htm

For #22, you're doing fine -- just go one more step.
 
Did you simplify √3232\sqrt{32} by squaring it?
No, I didn’t.
To simplify any fraction, you have to multiply or divide the numerator and denominator by the same number. In many of these cases, that can mean multiplying the numerator and denominator by the radical: For #6, multiply both by √66\sqrt{6}. In some of these cases, you might be able to multiply by something less than the entire radical, but you don't have to.
OHHH I think that’s what I’m missing with these division/fraction ones.
So try again, and show your work for several problems so we can see if you've got it.

For examples, if your textbook doesn't explain this, see https://www.purplemath.com/modules/radicals5.htm

For #22, you're doing fine -- just go one more step.
I’ll try these again and get back to you. also, thank you for the link!
 
With respect to example 6,

[MATH]5^2 \ne 5 \text { because } 25 \ne 5.[/MATH]
[MATH]a^2 \ne a \text { unless } a = 1 \text { or } a = 0.[/MATH]
So what you did is totally incorrect.

The way to do it is

[MATH]\dfrac{2}{\sqrt{6}} = \dfrac{2}{\sqrt{6}} * 1 =[/MATH]
[MATH]\dfrac{2}{\sqrt{6}} * \dfrac{\sqrt{6}}{\sqrt{6}} = \dfrac{2\sqrt{6}}{\sqrt{6} * \sqrt{6}} =[/MATH]
[MATH]\dfrac{2\sqrt{6}}{\sqrt{6 * 6}} = \dfrac{2\sqrt{6}}{\sqrt{36}} =[/MATH]
[MATH]\dfrac{2 \sqrt{6}}{6} = \dfrac{2\sqrt{6}}{2 * 3} = \dfrac{\sqrt{6}}{3}.[/MATH]
Do you understand each step?

If not, ask questions.

If so, try that method on other examples.
 
Squaring a number doesn't simplify it; it changes it. If you square 2, you get 4, which is not the same number! Did you simplify \(\sqrt{32}\) by squaring it?

To simplify any fraction, you have to multiply or divide the numerator and denominator by the same number. In many of these cases, that can mean multiplying the numerator and denominator by the radical: For #6, multiply both by \(\sqrt{6}\). In some of these cases, you might be able to multiply by something less than the entire radical, but you don't have to.

So try again, and show your work for several problems so we can see if you've got it.

For examples, if your textbook doesn't explain this, see https://www.purplemath.com/modules/radicals5.htm

For #22, you're doing fine -- just go one more step.
so I have 2[MATH]sqrt[/MATH]6 over 6.
With respect to example 6,

[MATH]5^2 \ne 5 \text { because } 25 \ne 5.[/MATH]
[MATH]a^2 \ne a \text { unless } a = 1 \text { or } a = 0.[/MATH]
So what you did is totally incorrect.

The way to do it is

[MATH]\dfrac{2}{\sqrt{6}} = \dfrac{2}{\sqrt{6}} * 1 =[/MATH]
[MATH]\dfrac{2}{\sqrt{6}} * \dfrac{\sqrt{6}}{\sqrt{6}} = \dfrac{2\sqrt{6}}{\sqrt{6} * \sqrt{6}} =[/MATH]
[MATH]\dfrac{2\sqrt{6}}{\sqrt{6 * 6}} = \dfrac{2\sqrt{6}}{\sqrt{36}} =[/MATH]
[MATH]\dfrac{2 \sqrt{6}}{6} = \dfrac{2\sqrt{6}}{2 * 3} = \dfrac{\sqrt{6}}{3}.[/MATH]
Do you understand each step?

If not, ask questions.

If so, try that method on other examples.
great, thanks. I got [MATH]sqrt[/MATH]6 over 3. Is my work acceptable?, because I strayed from yours a bit. (See file)
 

Attachments

  • image.jpg
    image.jpg
    707.7 KB · Views: 4
#22, is it correct or did i make a mistake?
 

Attachments

  • image.jpg
    image.jpg
    1 MB · Views: 3
Two things

[MATH]\dfrac{2\sqrt{6}}{6} = \dfrac{\sqrt{6}}{3}[/MATH]
so both are mathematically correct. However, if you are asked to simplify a fraction, the expectation is that it will be in lowest terms. You might get marked down for [MATH]\dfrac{2\sqrt{6}}{6}.[/MATH]
Second, I went in painful detail. There is nothing wrong with skipping steps if you see why they can be skipped without error.
 
Last edited:
I cannot see the second line in your work so I cannot be sure, but the first line in both cases looks good.
 
And, for good measure, I also took a shot at #28.
 

Attachments

  • image.jpg
    image.jpg
    1.3 MB · Views: 5
I cannot see the second line in your work so I cannot be sure, but the first line in both cases looks good.
Is this better? First image is #22, second is #10
(updated post)
 

Attachments

  • image.jpg
    image.jpg
    1.1 MB · Views: 2
  • image.jpg
    image.jpg
    1.3 MB · Views: 2
Last edited:
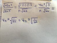
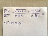
You dropped the radical around 1/(2n)!
*facepalm* i can’t believe I did that!

how about this?

UPDATE: I don’t know why this is happening with my pictures but the bottom half is getting cut off. Since the thumbnail includes that part though, try to zoom in on the thumbnail. Thank you
 

Attachments

  • image.jpg
    image.jpg
    1.5 MB · Views: 4
Last edited:
[MATH]\dfrac{\sqrt{48n^6}}{\sqrt{6n^3}} = \dfrac{n^3\sqrt{2^4 * 3}}{n\sqrt{6n}}[/MATH]
You forgot to write down the n cubed in the numerator.

[MATH]\dfrac{n^3\sqrt{2^4 * 3}}{n\sqrt{6n}} = \dfrac{4n^3\sqrt{3}}{n \sqrt{6n}}.[/MATH] Yes.

[MATH]\dfrac{4n^3\sqrt{3}}{n \sqrt{6n}} = 4n^2 * \dfrac{\sqrt{3}}{\sqrt{3 * 2n}} = 4n^2 * \dfrac{\sqrt{3}}{\sqrt{3} * \sqrt{2n}} = 4n^2 * \dfrac{1}{ \sqrt{2n}}[/MATH]
Where did your [MATH]4n^2 * \dfrac{1}{2n}[/MATH] come from?

I said in an earlier post that skipping steps is OK if you are sure that you are not introducing an error. But skipping steps is error prone and not just for beginners,
 
Sorry! That is a mistake.

dividing sqrt3 and sqrt6n gives me sqrt1/2n, I believe
That too is a mistake.

[MATH]\dfrac{\sqrt{3}}{\sqrt{6n}} = \dfrac{\sqrt{3}}{\sqrt{3 * 2n}} = \dfrac{\sqrt{3}}{\sqrt{3} * \sqrt{2n}} = \dfrac{1}{\sqrt{2n}}[/MATH]
Do you see why?
 
That too is a mistake.

[MATH]\dfrac{\sqrt{3}}{\sqrt{6n}} = \dfrac{\sqrt{3}}{\sqrt{3 * 2n}} = \dfrac{\sqrt{3}}{\sqrt{3} * \sqrt{2n}} = \dfrac{1}{\sqrt{2n}}[/MATH]
Do you see why?
sorry for the delay in getting back to you.

So the denominator has to be factored so that [MATH]sqrt[/MATH]3 can be divided by [MATH]sqrt[/MATH]3?
 
Top