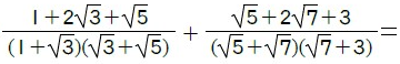
My first thought, without looking at your work, was that there must be a trick to make it simpler. And there is: Rewrite the expression asI am trying to simplify fractional surds problem
View attachment 37208
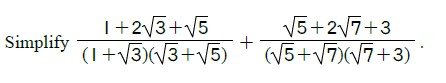
I have tried multiplying the surds in the bottom with the conjugates but I still end up with complicated surds that I can't simplify.
View attachment 37209
Any error I made or can you guide me what I missed?
Thank youuu
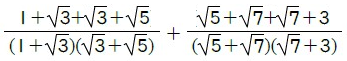
Change these multiplications to addition:oh wait hold on, will I have 1 as the numerator for each denominator in brackets?, Okay i will continue working on it, thank you
..
..
View attachment 37215
I am still getting an expression I can't divide.
The answer said it should be 1, but I think this is far from that hahahah (my sad laugh)
Ahhh! Thank you for that! I made a terrible mistake... I got the following that leads to 1.Change these multiplications to addition:
View attachment 37216
I hope you see why what you wrote is wrong. It would be helpful if you didn't skip steps, so we could be sure where the first line comes from, without having to guess.
The answer is indeed 1.
I think that you need to get some sleep and try again after you are rested. The only way the answer is 1 is if you end up with 2/2. If the numerator is going to be 2, then all these radicals will cancel out and you'll be left with -1 - 7 which is -8. There are two problems, -8/2 is not 1 and all the radicals do NOT cancel out.Ahhh! Thank you for that! I made a terrible mistake... I got the following that leads to 1.
[math]\frac{\sqrt{3}-1}{2}+\frac{\sqrt{5}-\sqrt{3}}{2}+\frac{\sqrt{7}-\sqrt{5}}{2}+\frac{\sqrt{3}-7}{2}[/math]Now I can sleep well thanks to you Dr Peterson!
oh yes I do need some sleep...., I just had some typo in the last numerator, it should be 3 - root 7. I misplaced the root sign due to latex coding.I think that you need to get some sleep and try again after you are rested. The only way the answer is 1 is if you end up with 2/2. If the numerator is going to be 2, then all these radicals will cancel out and you'll be left with -1 - 7 which is -8. There are two problems, -8/2 is not 1 and all the radicals do NOT cancel out.
Please try again and show your work so someone here can point out some errors, if there are any. Remember, you can do it