Solve the limits

I Love Pi

New member
Joined
Sep 5, 2021
Messages
36
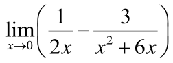
These 2 problems has puzzled me:

For the first one, I tried to solve by multiplying the limit by 2x. I tried to solve multiplying the limit by (x^2)+6x. I tried to solve by bringing the denominator values to the numerator with negative exponents and solving from there. I don’t know what else there is to do.

For the second one, I tried to solve by drawing a picture. I tried to solve by drawing the unit circle. I tried to solve by using u substitution.

Honestly, I feel like I have exhausted all possible ways to solve. Please help me out.
 

Attachments

  • 844D14E2-89C6-4577-89B9-4E7B5CC9D43D.jpeg
    844D14E2-89C6-4577-89B9-4E7B5CC9D43D.jpeg
    24.1 KB · Views: 6
  • 4663B771-C9B3-42EC-99D0-E69F9E54EF2D.jpeg
    4663B771-C9B3-42EC-99D0-E69F9E54EF2D.jpeg
    40.8 KB · Views: 6
These 2 problems has puzzled me:

For the first one, I tried to solve by multiplying the limit by 2x. I tried to solve multiplying the limit by (x^2)+6x. I tried to solve by bringing the denominator values to the numerator with negative exponents and solving from there. I don’t know what else there is to do.
1630890677831.png

Did you try carrying out the subtraction, using a common denominator?

For the second one, I tried to solve by drawing a picture. I tried to solve by drawing the unit circle. I tried to solve by using u substitution.
1630890763763.png

What limits have you learned involving tan or arctan? I assume you can't use L'Hopital's rule.

What happens to arctan for very large negative numbers? Maybe just think about the graph of arctan, first.

In any case, we'd like to see your actual work on whatever came closest to working, so we can see if it's just a silly error.
 
I had trouble finding a common denominator.

I can not use L’Hopital’s Rule. I believe that the arctan gets smaller with large negative numbers.
 

Attachments

  • 2020D072-4C27-4B32-B440-618A73CDC043.jpeg
    2020D072-4C27-4B32-B440-618A73CDC043.jpeg
    273 KB · Views: 4
  • 67AC7360-C1CE-497E-B46C-6A7BADBBCC41.jpeg
    67AC7360-C1CE-497E-B46C-6A7BADBBCC41.jpeg
    122.7 KB · Views: 4
I had trouble finding a common denominator.
You can't multiply an expression by something when you're finding the limit; you found the limit of the product.

What you used was not the least common denominator, but it will work, if you use it correctly. Have you not learned how to add fractions? Try this (which in effect uses the common multiple you used): https://www.mathsisfun.com/algebra/fractions-algebra.html

I can not use L’Hopital’s Rule. I believe that the arctan gets smaller with large negative numbers.
Your graph shows that arctan not only gets smaller, but approaches a limit. Use that limit!
 
Top