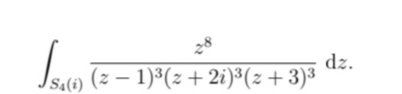
SOS Complex integral

Darya

Junior Member
Joined
Jan 17, 2020
Messages
154
Hi, I have an exam on Complex Analysis tomorrow. I have this exercise:
I have determined the singularities : 1,-2i, -3 (which are inside the circle we are integrating on); inf. But calculating this integral using Cauchy integral formula (with derivatives) seems very tedious. Please, I've looked all over my notes but can't find a theorem that would help with this integral.
Try Laurent series at infinity? I know that this integral is a sum of residues, which equals to the minus sum of residue at inf. And that the residues are -1. coefficient in Laurent..IMG_20220509_170923.jpg
 
Top