Suppose a satisfies 4 = a + a^{-1}. What is the value of a^4 + a^{-4}?

nanase

Junior Member
Joined
Aug 8, 2019
Messages
243
Hellow, I need help in solving this expression :
equation a.jpg
I tried converting to quadratic or quartic equation, but can't proceed any further.
ans5.jpg
thank you for help
 
I (cheated) a bit by using desmos to graph and the intersection happens to be around 0.27 and 3.73.
I am not supposed to use technology and solve this manually? anybody can give hint?
 
sorry? a is a variable right?
I gave you a big hint. And, yes, a is a variable.

A further hint: multiply both sides of the equation by a, and then you have a quadratic equation.

Look, not being good at Mathematics is no crime, but continually trying to do problems over your head is. May I ask: what level of Mathematics are you at? If you are trying problems like these, you should not need to ask if a is a variable!

-Dan
 
Hellow, I need help in solving this expression :
View attachment 36683
I tried converting to quadratic or quartic equation, but can't proceed any further.

thank you for help
1699014199213.png
Can you find the expression for (a + a-1)2 --- using (x + y)2 = x2 + y2 + 2*x*y

then

Can you find the expression for (a2 + a-2)2 --- using (x + y)2 = x2 + y2 + 2*x*y .................. continue
 
Do you know the value of a? If no, then a is a variable. You were on the right track by getting that quadratic equation so why did you not continue??
 
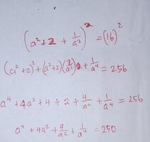
4 = ( a+ 1/a)
256 = a^4 + 4a^2 + 6 + 4/a^2 + 1/a^4
256= (a^4 + 1/a^4) + 4a^2 + 6 + 4/a^2
250= (a^4 + 1/a^4) + 4a^2 + 4/a^2
16 = a^2 + 2 + 1/a^2
14 = a^2 + 1/a^2
Continue from here.
 
oh after doing some algebra ---> a^2 + 1/a^2 = 14
I multiply all by 4 which gives 56
so subtract that from 250
Thank you Mr Steven!
 
Last edited:
oh after doing some algebra ---> a^2 + 1/a^2 = 16
I multiply all by 4 which gives 56
so subtract that from 256
Thank you Mr Steven!
First a^2 + 1/a^2 is not 16.

Just look at your first line in post 10!!!
It says that (a^2 + 2 + 1/a^2)^2 = 16^2 So what does a^2 + 2 + 1/a^2 equal?? The answer is right there!
 
Ah I made some careless typo & calculations, I edited my #12 hopefully that works
250-56 =194
 
I'm not saying arriving at a^2 + 1/a^2 = 14 is wrong but I wonder after arriving at what you got on post 10, how did you get a^2 + 1/a^2 = 14??
I followed up on Dr Peterson advice to do some manipulation in the middle, from squaring the equation into quadratic
 
Top