surface integral

arsene2000

New member
Joined
Jun 3, 2021
Messages
2
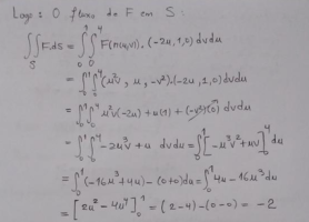
I don't know if my solution is correct, so I would like to know if anyone found any errors. 3) Find the flow of F=yz î +x j -z k through the parabolic cylinder y=x^2 , 0<=x<=1 , 0<=z<=4.
 

Attachments

  • 2.png
    2.png
    83.3 KB · Views: 2
  • 3.png
    3.png
    99 KB · Views: 2
If you have a sloid [imath]Q[/imath] that has a surface [imath]\partial{Q}[/imath], the flow direction across this surface is equal to the triple integral over this solid. This means that instead of integrating through the surface of this solid, we can integrate through its volume which is a lot easier.

[imath]\displaystyle\iint\limits_{\partial{Q}} \bold{F} \cdot \bold{n} \ dS = \iiint\limits_{Q} \nabla \cdot \bold{F}(x,y,z) \ dV = \int_{0}^{1}\int_{0}^{x^2}\int_{0}^{4} -1 \ dz \ dy \ dx[/imath]

[imath]\displaystyle = \int_{0}^{1}\int_{0}^{x^2} -4 \ dy \ dx = \int_{0}^{1} -4x^2 \ dx = -4\left(\frac{1^3}{3}\right) = -\frac{4}{3}[/imath]

At first, I was lazy to do the integral as you did, but when I got a different result, I had to see your steps which seem correct, except you changed the orientation of the flow direction. If the flow is entering the solid through the surface of the parabolic cylinder, its direction should have a positive x-component and a negative y-component.

I don't know why the divergence theorem gave me a different result. Probably, your answer is the correct one, but I prefer it to be positive unless you convince me I am wrong.
 
Top