Trig equation

mathnerd2021

New member
Joined
Jul 26, 2021
Messages
29
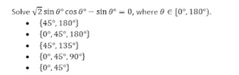
6.PNG

I got the last answer: (0, 45).
This is how I got it: sin t (root 2 cos t - 1) = 0
sin t = 0 and cos t = 1/root 2
The interval is open ended on the right, so the answer from sin t = 0 is t = 0 and not 180
cos t is positive, so t = 45.
Is my reasoning correct?
Also, do you think this question is suitable for testing a grade 11 student's understanding of solving a simple trig equation with multiple solutions?
 
View attachment 28387

I got the last answer: (0, 45).
This is how I got it: sin t (root 2 cos t - 1) = 0
sin t = 0 and cos t = 1/root 2
The interval is open ended on the right, so the answer from sin t = 0 is t = 0 and not 180
cos t is positive, so t = 45.
Is my reasoning correct?
Also, do you think this question is suitable for testing a grade 11 student's understanding of solving a simple trig equation with multiple solutions?
Yes, your work is correct, and yes, it is a reasonable problem, if not a little too easy.

To learn how to write math better here, see the section in our posting guidelines here about "Post the complete text". I'd write your factored form as "sin(t) (sqrt(2) cos(t) - 1) = 0", or as [imath]\sin(t) (\sqrt{2} \cos(t) - 1) = 0[/imath].
 
Yes, your work is correct, and yes, it is a reasonable problem, if not a little too easy.

To learn how to write math better here, see the section in our posting guidelines here about "Post the complete text". I'd write your factored form as "sin(t) (sqrt(2) cos(t) - 1) = 0", or as [imath]\sin(t) (\sqrt{2} \cos(t) - 1) = 0[/imath].
Thanks!
 
Yes, your work is correct, and yes, it is a reasonable problem, if not a little too easy.

To learn how to write math better here, see the section in our posting guidelines here about "Post the complete text". I'd write your factored form as "sin(t) (sqrt(2) cos(t) - 1) = 0", or as [imath]\sin(t) (\sqrt{2} \cos(t) - 1) = 0[/imath].
Could you suggest a change that I can make to the question that will make it a bit more challenging for a grade 11 student?
 
Could you suggest a change that I can make to the question that will make it a bit more challenging for a grade 11 student?
I don't know what is covered in your grade 11. You need to decide how hard to make it based on your syllabus. What is your purpose?

Or, rather, you'd want to make multiple questions that test different specific skills. For instance, you might want to include a need for an identity, or harder factoring. You described the goal as "a simple trig equation with multiple solutions"; what counts as "simple"? Could "multiple solutions" include a larger domain so that the cosine part has two solutions?
 
To add a little bit of difficulty, could I change it this way:

√2sin(t)cos(2t) - sin(t) = 0

Could you suggest a question with greater difficulty.
 
That, or change it to sin(2t) = √2 sin(t). There are many ways you can go.

Have you tried just looking through exercises in a textbook?
 
Top