Trig Problem - Find the length of x & b

rufusbabe

New member
Joined
Dec 10, 2013
Messages
17
Hi everyone,

Here is the question:
Question6.jpg

I've managed to answer questions a, b and c but having trouble with d & e.

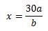
For part a) I got:
a.jpg

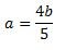
For part b) I got:
b.jpg

For part c) I got:
c.jpg

I'm just not sure where to start with d) and e), specifically finding sides x and b. I know it's got something to do with the ratio 5/4 and multiplying each side by it's opposite, 30m and 36m. I've tried substituting the equations from parts a & b into tan(alpha)=50+30+b/40+x+a but I keep going in circles or nowhere at all! :mad:

Anyone have any suggestions?
 
Gosh, I feel silly...

ha ha! Thanks so much Romesk! All I needed was: a/b = 4/5 and that was the nudge I needed. I just seem to go in circles with these problems and make them more complicated than they really are!

Thanks again. :)
 
Top