John_Lascelles
New member
- Joined
- Nov 14, 2019
- Messages
- 2
Hello,
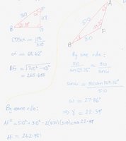
This is a real world problem that I am struggling to solve. As you can see from the image below I am trying to find the distance shown as a "?". I have spent hours trying to use the sine, cosine and Pythagoras but I just can't see it!
The far right point is actually a pivot and the two known lines on the left are the change in length of a gas strut.
Any help would be much appreciated at this point as it is giving me a headache.
Many thanks,

This is a real world problem that I am struggling to solve. As you can see from the image below I am trying to find the distance shown as a "?". I have spent hours trying to use the sine, cosine and Pythagoras but I just can't see it!
The far right point is actually a pivot and the two known lines on the left are the change in length of a gas strut.
Any help would be much appreciated at this point as it is giving me a headache.
Many thanks,























