use cauchy's formula to write polynomial as an integral

maxim07

New member
Joined
Dec 6, 2022
Messages
1
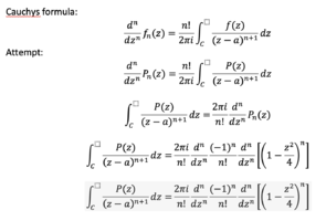
The question gives the polynomial attached and asks you to use cauchy's integral formula to write the function as an integral our a suitable closed contour C, with the final answer containing no derivatives.
Screenshot 2022-12-06 at 22.20.36.png
I am not sure if the following is the correct approach for the question since I end up wit derivatives in the result, the question then asks for me to compute pn(2) and I wouldn't know how to to that with my result

Screenshot 2022-12-06 at 22.39.46.png
 
Top