Let X be a Pareto distributed random variable.
a. find VaRα(e^x) and VaRα(logX).
b. Does e^x has heavy-tailed distribution?
c. Does logX has heavy-tailed distribution?
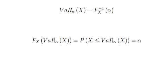
*I'm supposed to use the formula in the picture below.
**That is all the data in the question.
***Please let me know if you recognize the source, such as the book or website, from which this question is taken.
Thanks a lot

a. find VaRα(e^x) and VaRα(logX).
b. Does e^x has heavy-tailed distribution?
c. Does logX has heavy-tailed distribution?
*I'm supposed to use the formula in the picture below.
**That is all the data in the question.
***Please let me know if you recognize the source, such as the book or website, from which this question is taken.
Thanks a lot
