Elizabethq
New member
- Joined
- Sep 15, 2021
- Messages
- 1
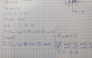
The figure got clipped off. We cannot analyze your answer from this post. Please repost (with correct orientation) so that we truly help.Hi, I'm a bit confused about solving one function that has vectors in it.
I need to find vector F1, vector F2, |F1| and |F2|. Can anybody help me?
View attachment 28906

I'm thinking that the clipped figure belongs to the prior exercise.The figure got clipped off
I don't think so. You can see F1x & F2x & 55o - as data on the figure. Those "also" belong to this problem!!I'm thinking that the clipped figure belongs to the prior exercise.
[imath]\;[/imath]
Then the op is worse than I'd thought. I'll wait for clarification.Those "also" belong to this problem!!
