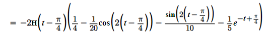
I am doing Laplace inverse here and get the following answer, but when I check online, it shows a much more elaborate answer that I don't understand. Why is my answer wrong? What steps do I take to get the correct answer?
E-math help answer:
Symolab answer:
This site uses cookies to help personalise content, tailor your experience and to keep you logged in if you register.
By continuing to use this site, you are consenting to our use of cookies.