rootmeister64
New member
- Joined
- Nov 7, 2020
- Messages
- 10
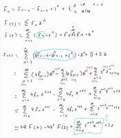
Hello. I have to come up with a generating function for the following recursion:

This is what I have done so far:

Now I do not know what to do. I could take 22 and z2 out of the sum but this doesn't help me at all...
Did I make any mistakes or am I missing something very obvious?
Thank you very much for your time!
This is what I have done so far:

Now I do not know what to do. I could take 22 and z2 out of the sum but this doesn't help me at all...
Did I make any mistakes or am I missing something very obvious?
Thank you very much for your time!