X1, X2 equation

rimeyy

New member
Joined
Aug 18, 2021
Messages
6
Good evening.
I've been absent from math class due to some health problems, and I've returned recently and have been faced with equations of this type:
1640720397312.png
The first step I understand, we just do the maths until we can't anymore.
1640720452067.png
We're given a formula to apply it to, and we slightly adjust the formula.
1640720492965.png
This step after the formulas is unclear to me, I don't know where to even begin with it. 4a2-24a+36 is probably the result from the solving of two parentheses, my guess being 4(a-3)^2. But, how did they get the upper row? What is the explanation for what's happening between step 2 and step 3? Thank you ahead of time.
 
Good evening.
I've been absent from math class due to some health problems, and I've returned recently and have been faced with equations of this type:
View attachment 30372
The first step I understand, we just do the maths until we can't anymore.
View attachment 30373
We're given a formula to apply it to, and we slightly adjust the formula.
View attachment 30374
This step after the formulas is unclear to me, I don't know where to even begin with it. 4a2-24a+36 is probably the result from the solving of two parentheses, my guess being 4(a-3)^2. But, how did they get the upper row? What is the explanation for what's happening between step 2 and step 3? Thank you ahead of time.
What problem are you trying to solve? The second image seems unrelated to the first.

If these are just pieces from a complete solution you were given, please show the whole thing.
 
What problem are you trying to solve? The second image seems unrelated to the first.

If these are just pieces from a complete solution you were given, please show the whole thing.
The second image is absolutely related to the first. I am not trying to solve the problem, I just need an explanation of how they went from one step to another step, since the rest of the process is known to me. I suspect that they divided this:
1640733017915.png
Into X1 and X2 parts which they then applied on this formula:
1640733065690.png
To get this:
1640733092825.png
I hope that you've understood what I am requesting, thank you for your response & time.

1640733191559.png
This is the full picture.
 
What's the instruction? Is it to find the roots/zeros of the quadratic equation? What's [imath]X_1 [/imath] and [imath]X_2[/imath]?
I can tell you this much [math]X_1^2+X_2^2=X_1^2+X_2^2+\underbrace{2(X_1)(X_2)-2(X_1)(X_2)}_{\text{adding 0}}\\[/math]Notice the first 3 terms is a perfect square.
[math]\underbrace{X_1^2+X_2^2+2(X_1)(X_2)}_{\text{perfect square}}-2(X_1)(X_2)=(X_1+X_2)^2-2(X_1)(X_2)[/math]
 
Last edited:
You were asked to give the original problem, completely and exactly. “You suspect” is hardly helpful.

Start by giving us the actual problem. Then we can understand what is going on.
 
What's the instruction? Is it to find the roots/zeros of the quadratic equation?
1640739200155.png
I think so, this is how they continued the problem, they found for what values the given inequality is lower or equal to zero. That, and the early steps are clear to me, what I need explained is how they applied the simplified form of the starting inequality to the given formula (second picture original post), to be able to continue the problem (third picture, original post). Thank you for responding.
 
The second image is absolutely related to the first. I am not trying to solve the problem, I just need an explanation of how they went from one step to another step, since the rest of the process is known to me.
You evidently assume that mathematical expressions are self-explanatory. They are not. There are many reasons one might bring in some new equation, and many ways different parts of a solution may be related (or not at all). Context is essential in understanding anything in mathematics.

Looking at the page, my first guess is that perhaps [imath]x_1[/imath] and [imath]x_2[/imath] are the two roots of the equation. But we can only know what they are if we are told.

You say that someone gave you a "formula"; possibly you mean that the inequality is to be proved, or is given as true for some reason. We don't know what its role is, because you haven't told us. And if you haven't been told that yourself, then you can't be expected to understand it, either.

It does look like they rewrote the inequality using BBB's idea; then they appear to have used the fact that the sum of the roots of a quadratic equation [imath]ax^2+bx+c=0[/imath] is -b/a, and their product is c/a. See if you can use this idea to understand the details.

So my guess, with a little more support than before, is that the problem is to find the values of the parameter a for which the inequality is true of the roots.

But we shouldn't have to guess what the problem is:
2. Post the exercise or your question completely and accurately. Start a new thread for each exercise.​
The easiest way is to copy exercises word-for-word (including the instructions).​
 
You evidently assume that mathematical expressions are self-explanatory. They are not. There are many reasons one might bring in some new equation, and many ways different parts of a solution may be related (or not at all). Context is essential in understanding anything in mathematics.

Looking at the page, my first guess is that perhaps [imath]x_1[/imath] and [imath]x_2[/imath] are the two roots of the equation. But we can only know what they are if we are told.

You say that someone gave you a "formula"; possibly you mean that the inequality is to be proved, or is given as true for some reason. We don't know what its role is, because you haven't told us. And if you haven't been told that yourself, then you can't be expected to understand it, either.

It does look like they rewrote the inequality using BBB's idea; then they appear to have used the fact that the sum of the roots of a quadratic equation [imath]ax^2+bx+c=0[/imath] is -b/a, and their product is c/a. See if you can use this idea to understand the details.

So my guess, with a little more support than before, is that the problem is to find the values of the parameter a for which the inequality is true of the roots.

But we shouldn't have to guess what the problem is:
2. Post the exercise or your question completely and accurately. Start a new thread for each exercise.​
The easiest way is to copy exercises word-for-word (including the instructions).​
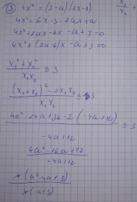
Sadly I don't have access to the text of the original exercise, I would have put it here if I had it, the only things I have access to are bits and pieces of the problems themselves, and yes the X1 and X2 are roots. BBB's idea is the way they did it, but I only need one part of the process explained, that being what logic they used to transfer the simplified equation and apply it to the given formula that's usually given as a condition of the problem. What I don't need is the formula itself, but what I do need is an explanation of how they went from and how they applied the resulting answers to the given formula:
1640764319143.png
From the top to the bottom most, which should be explainable by itself as again I need an explanation only for this particular part, I don't need a solution to the whole problem, only, as I said, this part.
 
Sadly I don't have access to the text of the original exercise, I would have put it here if I had it, the only things I have access to are bits and pieces of the problems themselves, and yes the X1 and X2 are roots. BBB's idea is the way they did it, but I only need one part of the process explained, that being what logic they used to transfer the simplified equation and apply it to the given formula that's usually given as a condition of the problem. What I don't need is the formula itself, but what I do need is an explanation of how they went from and how they applied the resulting answers to the given formula:
View attachment 30381
From the top to the bottom most, which should be explainable by itself as again I need an explanation only for this particular part, I don't need a solution to the whole problem, only, as I said, this part.
You can always ask your instructor, right? Or at least ask whoever took these notes for you, what was being done. Clearly you have not been given enough to learn from, if you don't even know what problem was being solved.

But I have explained this for you, if you will make the effort to apply what I said:

It does look like they rewrote the inequality using BBB's idea; then they appear to have used the fact that the sum of the roots of a quadratic equation \(ax^2+bx+c=0\) is -b/a, and their product is c/a. See if you can use this idea to understand the details.

So, in your equation [imath]6x^2+(2a-6)x-a+3=0[/imath], what are "a", "b", and "c"? What are "-b/a" and "c/a"? Put those in the inequality in place of [imath]x_1+x_2[/imath] and [imath]x_1x_2[/imath] respectively, and see what you get.
 
To expand on Dr. Peterson's answer

Any quadratic can be written as a product of three linear terms, namely

[math]f(x) = ax^2 + bx + c, \ a \ne 0, f(p) = 0, \ \land \ f(q) = 0 \iff \\ a(x - p)(x - q) .[/math]
That is a corollary of the fundamental theorem of algebra.

A consequence of this is

[math]a(x - p)(x - q) = a(x^2 - (p + q)x + pq) \implies\\ b = -a(p + q) \ \land c = apq.[/math]
 
Thanks to @JeffM for adding an explanation of the principle on which my explanation is based.

@rimeyy: I have been assuming that either you have learned that idea, or you would ask me to explain it. But in addition to your not having told us the actual problem being solved, you haven't told us what you have learned, or what specific topics were taught during the time you missed. Knowing such things is very important when we want to give the most appropriate help. Any additional information would make things easier for us.

I'll also add that a page of symbolic work, with no words to explain what is done, is hard to read, and is commonly a difficulty in trying to give partial credit when grading an exam! Students commonly don't seem to realize that we can't read their minds through the symbols they write! That seems to be your predicament here, as you are apparently trying to decipher what a fellow student has written in that minimal style. (At least that's how I interpret the fact that you only have this to go by.)

I was serious in suggesting you ask your instructor for whatever else can be provided, such as the problems that were covered. What you have is not enough to learn from -- I could make good guesses based on my experience, but I wouldn't expect you to; and even so, I am unsure just what form of the fact that is being used might have been taught, as at least one significant step appears to have been skipped if they are doing just what I suggested.
 
Top