Hi all, so I am aware that
does not have a degree since it involves y' within the square root.
However, I wonder what happens if the "y'" is replaced by x instead, can it have a degree of 1 now? I mean if "y'" is replaced by x then can we just treat the root as a constant since it doesn't involve y?
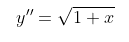
I am referring to the degree of the following
Thank you so much for helping!
However, I wonder what happens if the "y'" is replaced by x instead, can it have a degree of 1 now? I mean if "y'" is replaced by x then can we just treat the root as a constant since it doesn't involve y?
I am referring to the degree of the following
Thank you so much for helping!