another systems of equations problem

Ah, the b is from the vertex form. Unless I missed it, I haven't seen your equation yet. y = ....
I am sorry that I did not post this image yesterday but it seems that I didn't copy it form the sd card on my camera. I did that just now and here is what I did: (it was easy, I only had one variable to fool with):
final4.PNG
 
Please look at the initial equation you were given. It is y = a*x^2 + x + c. There is NO b in the equation. You found a and c so you are done finding the equation. What are you not understanding?
 
well, b is 1 is it not? I think I showed that in my last post. Wait,let me check that post. OK. I see that I didn't post the image where I found that b is one. I have that on another computer and will post it. That was easy to find once I got a and c. As for the system you suggest, it just never occurred to me to do it that way. I was intent on turning a(0)+b(0)=0 and a(40^2) +b(40)--30 into a system and couldn't figure it out. I kept getting 0 as a coefficient for a somehow. Maybe it was just impatience on my part. Anyway, I will try your approach just to see how it works. Thanks
THERE WAS NO b TO SOLVE FOR! THERE WAS NO b TO SOLVE FOR! THERE WAS NO b TO SOLVE FOR!

The given equation did not have a b in it.

To convince me that you see that can you please type the original equation which you were given.
 
THERE WAS NO b TO SOLVE FOR! THERE WAS NO b TO SOLVE FOR! THERE WAS NO b TO SOLVE FOR!

The given equation did not have a b in it.

To convince me that you see that can you please type the original equation which you were given.
I see what you are saying but now I have to go back and see why I didn't register this. I have to recall how we came to that x^2+x+c. I recall the part in the problem where we are told that the equation is in the form ax^2+bx+c---but I just looked back and I see that no, there was no b in that equation...but still that just means that the coefficient of x is 1--but I guess if I had had my wits about me I would not have had to fool around so much trying to find b. Next time I will watch for that. Thanks
 
Beer soaked contribution follows.

Something for you to ponder if you don't have GeoGebra CAS Calculator yet.
View attachment 21404
View attachment 21405
yes, I realized today what I did wrong with the completing the square operation: I was treating the procedure the way we work with an equaion to which we are trying to find the solutions. I redid the business until the light broke upon me today. Here is a revision:
vert5.PNG
 
No no, Please read the problem. It is given that y = a*x^2 + x + c and NOT y = a*x^2 + bx + c.
I can't help you if you refuse to read the problem and verify that I am correct.
 
Beer soaked comment and contribution follows.
yes, I realized today what I did wrong with the completing the square operation: I was treating the procedure the way we work with an equaion to which we are trying to find the solutions. I redid the business until the light broke upon me today. Here is a revision:
View attachment 21428
Good stuff.
Some of us prefer rational numbers over messy decimal approximations.
So,
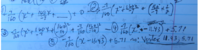
[MATH]y=-\frac{7}{160}x^{2}+x+0[/MATH][MATH]y=-\frac{7}{160}(x^{2}-\frac{160}{7}x+[(\frac{1}{2})(-\frac{160}{7})]^2)+(0+\frac{7}{160}[(\frac{1}{2})(-\frac{160}{7})]^2[/MATH][MATH]y=-\frac{7}{160}(x^{2}-\frac{160}{7}x+[-\frac{80}{7}]^2)+(0+\frac{7}{160}[-\frac{80}{7})]^2)[/MATH][MATH]y=-\frac{7}{160}(x-\frac{80}{7})^2+\frac{40}{7}[/MATH]
Or to see how y went wild at post #33,
[MATH]y=-\frac{7}{160}x^{2}+x+0[/MATH][MATH]-160y=7x^{2}-160x+0[/MATH][MATH]-160y=7(x^{2}-\frac{160}{7}x+[(\frac{1}{2})(-\frac{160}{7})]^2)+(0-7[(\frac{1}{2})(-\frac{160}{7})]^2)[/MATH][MATH]-160y=7(x-\frac{80}{7})^2-\frac{6400}{7}[/MATH]
 
Last edited:
I do not get it at all. I am claiming, right or wrong, that the problem from your book states a*x^2 + x + c and NOT a*x^2 +bx + c. WHY WON'T YOU CHECK THE PROBLEM IN YOUR BOOK TO SEE WHO IS CORRECT?

I'll make your life easier and post the problem from your book below.
BTW, I am out of here.
ball3.PNG
 
I do not get it at all. I am claiming, right or wrong, that the problem from your book states a*x^2 + x + c and NOT a*x^2 +bx + c. WHY WON'T YOU CHECK THE PROBLEM IN YOUR BOOK TO SEE WHO IS CORRECT?

I'll make your life easier and post the problem from your book below.
BTW, I am out of here.
View attachment 21444
yes, I see that it says there is no b. I missed that or assumed b was part of the equation. But what I am saying is that there is still a coefficient (disguised) in that formula, namely, 1 before that x, no?
 
Beer soaked comment and contribution follows.

Good stuff.
Some of us prefer rational numbers over messy decimal approximations.
So,
[MATH]y=-\frac{7}{160}x^{2}+x+0[/MATH][MATH]y=-\frac{7}{160}(x^{2}-\frac{160}{7}x+[(\frac{1}{2})(-\frac{160}{7})]^2)+(0+\frac{7}{160}[(\frac{1}{2})(-\frac{160}{7})]^2[/MATH][MATH]y=-\frac{7}{160}(x^{2}-\frac{160}{7}x+[-\frac{80}{7}]^2)+(0+\frac{7}{160}[-\frac{80}{7})]^2)[/MATH][MATH]y=-\frac{7}{160}(x-\frac{80}{7})^2+\frac{40}{7}[/MATH]
Or to see how y went wild at post #33,
[MATH]y=-\frac{7}{160}x^{2}+x+0[/MATH][MATH]-160y=7x^{2}-160x+0[/MATH][MATH]-160y=7(x^{2}-\frac{160}{7}x+[(\frac{1}{2})(-\frac{160}{7})]^2)+(0-7[(\frac{1}{2})(-\frac{160}{7})]^2)[/MATH][MATH]-160y=7(x-\frac{80}{7})^2-\frac{6400}{7}[/MATH]
Yes, I know it is not the wisest course to use approximations all through a procedure like that and I will avoid it in future. It is funny but decimals feel MORE accurate to me than fractions. But using fractions all through a problem allows one to avoid the building-up of a pile of many tiny errors due to decimal approximations.
Thanks again for the pointer to that site with the free texts. I have downloaded five of the ones you suggested before they asked me to register to continue. I have registered and will return for the others.
 
Top