Have you heard of the formula: Circumradius formula.b. calculate the radius of the circle to the nearest whole number.
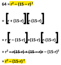
In particular, OM = 15 - r.I'd use these facts:
but this is not the only approach.
- QO = OR = r
- QO + OM = QM = 15
- OM^2 + MR^2 = OM^2 + 64 = r^2
An isosceles triangle PQR has it vertices on the circumference of a circle. If |PQ| = |QR| = 17 cm, |PR| = 16 cm and m is the midpoint of |PR|. Calculate
a. |QM|
b. calculate the radius of the circle to the nearest whole number.
View attachment 39607
Relax man! It is very normal that people forget how to solve the same problem twice after some time passes. I myself who is considered the greatest Lord of mathematics in the history of this forum, I forget how to solve the same problem after one week from the solution. Now imagine this @chijioke who did it last time two years ago!You're clearly suffering from some kind amnesia.
Relax ...
logistic_guy: I myself who is considered the greatest Lard of mathematics in the history of this forum.
@lookagainlogistic_guy: I myself who is considered the greatest Lard of mathematics in the history of this forum.
If I mind only my own biz, where is the fun in that?Spider marriage is complicated. Sometimes, you just gotta mind your own biz.
...
If I mind only my own biz, where is the fun in that? ...
Have you heard of the formula: Circumradius formula.
\(\displaystyle r = \frac{abc}{4A}\)
where \(\displaystyle a,b,c\) are the side lengths of the triangle and \(\displaystyle A\) is the triangle area.
Or
\(\displaystyle r = \frac{a}{2\sin A}\), where \(\displaystyle a = \overline{PR}\) and \(\displaystyle A\) the angle opposite to it.
The formula gives the radius of the circle for any triangle inscribed inside when all vertices of the triangle touch the circumference of the circle.
If you are not allowed to use this formula and you want to solve the problem using pure geometry, you can construct the perpendicular bisectors.
I corrected his error in #4. Did you not see that? Replace Q with O there.
Did not at first notice the red OI think there's a typo there:
In particular, OM = 15 - r.
My bad. As @Dr.Peterson noted, it should OM, not QM.