Find their respective speeds

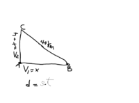
Oh, I think I should have drawn two points. One for each car, right?. Because both were at 40 kilos apart.
 
Let's see now
 

Attachments

  • paint_25-12-2020-04-11-32.jpg
    paint_25-12-2020-04-11-32.jpg
    187.5 KB · Views: 2
It looks to me that if I draw a line to join the two points at the 40 kms, a right triangle is formed. Just saying.
 
Hey, Khan said: Get the hypothenuse, the hypothenuse is 40, but I know the formula for the hypothenuse, and is not s=d/t .
Do I find the hypothenuse or do I go with the speed formula, what is the best way?.
 
Oh, I am sorry, first the hypothenuse and then the speed formula. Okay. Sorry.
 
Hey, Khan said: Get the hypothenuse, the hypothenuse is 40, but I know the formula for the hypothenuse, and is not s=d/t .
Do I find the hypothenuse or do I go with the speed formula, what is the best way?.
Go where? You have the right triangle which gives you a certain relationship that connects its sides. You have d=st. Any ideas?
 
I am stuck here. Don't know what to do next.
 

Attachments

  • 2020_12_25_0vh_Kleki.png
    2020_12_25_0vh_Kleki.png
    37.2 KB · Views: 3
Use the notation to help you.

You know the general formula relating average rate, distance, and time

[MATH]d = r * t.[/MATH]
Subhotosh Khan told you to label the unknowns.

[MATH]d_1 = \text {distance travelled by car 1.}[/MATH]
[MATH]r_1 = \text {average rate of car 1.}[/MATH]
[MATH]t_1 = \text {time traveled by car 1.}[/MATH]
[MATH]d_2= \text {distance travelled by car 2.}[/MATH]
[MATH]r_2 = \text {average rate of car 2.}[/MATH]
[MATH]t_2 = \text {time traveled by car 2.}[/MATH]
[MATH]x = \text {final distance between the cars.}[/MATH]
Are all of those unknown?

No. We know that [MATH]t_1 = 2 \text { and } t_2 = 2.[/MATH]
We also know that x = 40.

So there are four unknowns. That means we need four equations.

[MATH]2r_1 = d_1.[/MATH] Just applying the general rule to the specific case.

[MATH]2r_2 = d_2.[/MATH] Same thing.

And the problem tells you that [MATH]r_1 = r_2 + 4.[/MATH]
All of that should be almost automatic if you name the relevant variables, determine which are unknown, and look for the obvious equations. Now we need to determine the non-obvious equation or equations. We have found three and need four. That last equation is best found using a diagram and seeing that the Pythagorean Theorem applies.

What is that fourth equation? Once you have that, the thinking is over. It’s just manipulation of symbols after that.[/MATH]
 
Wow!. Well, I have to take my time, guys. I take my hat off to you all. Wow!. Ill get back to you. I'll have dinner now. Thanks a lot. I will rest a bit after dinner, reflect on what you have told me and be back early tomorrow again. Merry Christmas.
 
Use the notation to help you.

You know the general formula relating average rate, distance, and time

[MATH]d = r * t.[/MATH]
Subhotosh Khan told you to label the unknowns.

[MATH]d_1 = \text {distance travelled by car 1.}[/MATH]
[MATH]r_1 = \text {average rate of car 1.}[/MATH]
[MATH]t_1 = \text {time traveled by car 1.}[/MATH]
[MATH]d_2= \text {distance travelled by car 2.}[/MATH]
[MATH]r_2 = \text {average rate of car 2.}[/MATH]
[MATH]t_2 = \text {time traveled by car 2.}[/MATH]
[MATH]x = \text {final distance between the cars.}[/MATH]
Are all of those unknown?

No. We know that [MATH]t_1 = 2 \text { and } t_2 = 2.[/MATH]
We also know that x = 40.

So there are four unknowns. That means we need four equations.

[MATH]2r_1 = d_1.[/MATH] Just applying the general rule to the specific case.

[MATH]2r_2 = d_2.[/MATH] Same thing.

And the problem tells you that [MATH]r_1 = r_2 + 4.[/MATH]
All of that should be almost automatic if you name the relevant variables, determine which are unknown, and look for the obvious equations. Now we need to determine the non-obvious equation or equations. We have found three and need four. That last equation is best found using a diagram and seeing that the Pythagorean Theorem applies.

What is that fourth equation? Once you have that, the thinking is over. It’s just manipulation of symbols after that.[/MATH]
Thanks,
I am writing it out on paper.
I have a question.
Why do you say that
t1=2
and
t2=2

How do we know that?.
.
 
Last edited:
Top