Frankenstein143
New member
- Joined
- May 17, 2021
- Messages
- 22
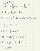
In this example the formal derivative of a polynomial is given.
In (a) the want me to show that the map f-->f' on R-Vectorspace defines an Endomorpism.
In (b) they ask what is the kernel and which function (image?) has this endomorphism?
I really have difficulty even understand what and how I should show that f---->f´ is an endomorphism.
I think I have to prove it with the definition of Endomorphism:
F(af+f')=aF(f)+F(f')
Should I do this: F(af+f')=aF(f)+F(f')?
If yes, then what is F?
In (a) the want me to show that the map f-->f' on R-Vectorspace defines an Endomorpism.
In (b) they ask what is the kernel and which function (image?) has this endomorphism?
I really have difficulty even understand what and how I should show that f---->f´ is an endomorphism.
I think I have to prove it with the definition of Endomorphism:
F(af+f')=aF(f)+F(f')
Should I do this: F(af+f')=aF(f)+F(f')?
If yes, then what is F?

