How to solve this? The first three terms of a different geometric progression are (4/3)cos^2(3theta), (16/9)cos^4(3theta), and (64/27)cos^6(3theta)

i dont understand. pls could you break it down?
From you posts I can't figure out what you understand and what you don't. Which means that short of posting a whole lecture or duplicating Wikipedia pages I don't know how to help you. Have you looked at the Wikipedia page I linked in an earlier post? Do you have questions about it? Also:
  1. Can you write a formula for a geometric progression with the first member [imath]a[/imath] and ratio [imath]r[/imath] ?
  2. Do you understand what a partial sum is?
  3. Can you see how partial sums look for [imath]r=\pm 1[/imath] ?
Please break down your own answer so that we can see how to help you.

Thanks.
 
r = 4(cos^2(3theta))/3. I found the angles as pi/18, 11pi/18, 5pi/18, 7pi/18. I am stuck here.
1710705319770.png
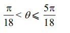
the solution given is this: I dont understand how they got lesser than or equal to sign and thet
1710705354594.png
pi/18 < r < 5pi/18

For the record, I think their answer is wrong, and @Kulla_9289 is right (except that the inequality is about theta, not r!); but then, I am not sure of the interpretation of the problem (what does "has a sum to infinity" mean?).

I've avoided joining in here while we wait for some substantive information from the OP about exactly what he does and does not understand; but on realizing this, I think it may be the underlying source of confusion.
 
I am not sure of the interpretation of the problem (what does "has a sum to infinity" mean?).
My interpretation is that the partial sums' limit is infinity, i.e. they are not limited by any finite value. For [imath]r=-1[/imath] the partial sums do not converge, but their absolute value remains limited.
 
My interpretation is that the partial sums' limit is infinity, i.e. they are not limited by any finite value. For [imath]r=-1[/imath] the partial sums do not converge, but their absolute value remains limited.
But if their answer is as shown, the reality is that |r| < 1 for pi/18 < theta < 5pi/18, so in the interior of their interval, the series will converge, not go to infinity! And if you take the problem as you do, at both endpoints, r is 1, not -1 (since the cosine is squared), so the partial sum still go to infinity, and there is no reason for < vs <=. Their answer seems to be wrong no matter how we interpret it.

Here is a graph of r vs theta:

1710711351081.png

My initial understanding of the problem agreed with this: "the progression has a sum [i.e. converges, as the terms are taken] to infinity". Neither interpretation strikes me as normal wording.

I'm just confused.
 
Top