markraz
Full Member
- Joined
- Feb 19, 2014
- Messages
- 338
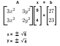
thanks so would it be a 4 point set like this?You are trying to find out where the curves intercept. A solution (and there may be more than one) will be a point and a point has an x and y value. So no, your answer is not correct as there are no points stated.
You are close. You just have to write the solution in the correct format. Remember that a point is written as (x,y).

Yes, you have the correct answer in the right format!thanks so would it be a 4 point set like this?
{(-sqr(5), 2) , (sqr(5), 2), (-sqr(5), -2) , (sqr(5), -2)}
thanks in advance
View attachment 22209
thanks so much really appreciate itYes, you have the correct answer in the right format!