Solution of Laplace eq with Robbins boundary condition

shreddinglicks

Junior Member
Joined
Apr 16, 2016
Messages
76
1728312747111.png
Moving 70cos to the other side, distributing Asinh and applying orthogonal property

1728313425997.png

I've tried to evaluate the solution but the results are junk leading me to believe my equation is bad.

I've also tried to obtain the solution where X(x) has hyperbolic functions and Y(y) is sin and cos. That solution will not give me lambda.


What is the correct way to approach with this boundary condition?
 
Last edited:
The boundary conditions are wrong. Can you write them again correctly? And also write the intervals of [imath]x[/imath] and [imath]y[/imath].
 
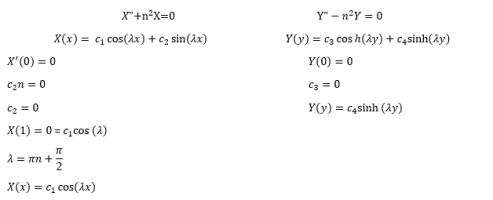
It is better to choose [imath]-\lambda[/imath], instead of [imath]\lambda^2[/imath]. Therefore the two equations are:

[imath]X''+\lambda X = 0[/imath]
[imath]X'(0) = 0[/imath]
[imath]X(1) = 0[/imath]

[imath]Y'' - \lambda Y = 0[/imath]
[imath]Y(0) = 0[/imath]
[imath]Y(1) = 100[/imath]

There are three cases, we will start with [imath]\lambda = 0[/imath]. Solve the two equations, what do you get?

Also, if you have the final solution of the problem, show it, it will make things easier.
 
Last edited:
It is better to choose [imath]-\lambda[/imath], instead of [imath]\lambda^2[/imath]. Therefore the two equations are:

[imath]X''+\lambda X = 0[/imath]
[imath]X'(0) = 0[/imath]
[imath]X(1) = 0[/imath]

[imath]Y'' - \lambda Y = 0[/imath]
[imath]Y(0) = 0[/imath]
[imath]Y(1) = 100[/imath]

There are three cases, we will start with [imath]\lambda = 0[/imath]. Solve the two equations, what do you get?

Also, if you have the final solution of the problem, show it, it will make things easier.
Correction.
[imath]X''+\lambda X = 0[/imath]
[imath]X'(0) = 0[/imath]
[imath]X(1) = 0[/imath]

[imath]Y'' - \lambda Y = 0[/imath]
[imath]Y(0) = 0[/imath]
[imath]Y(1) = 0[/imath]

All conditions should be forced to be homogeneous. Later, you will understand, how this will help us to solve the PDE.
 
When we force the boundary conditions to be zero, we don't apply the boundary conditions to the hyperbolic solution.

So, we have these two solutions:

[imath]X(x) = c_1\cos nx[/imath], where [imath]\displaystyle n = \frac{(2k - 1)\pi}{2}[/imath], [imath]\displaystyle k = 1,2,3,4,........[/imath]

And

[imath]Y(y) = c_3\cosh ny + c_4 \sinh ny[/imath]

Our first solution is:

[imath]\displaystyle u_1(x,y) = X(x)Y(y) = c_1\cos nx(c_3\cosh ny + c_4 \sinh ny)[/imath]

Or

We can write it with superposition principle as:

[imath]\displaystyle u_1(x,y) = \sum_{k=1}^{\infty} \left(A_k \cosh \frac{(2k - 1)\pi}{2}y + B_k \sinh \frac{(2k - 1)\pi}{2}y\right)\cos \frac{(2k - 1)\pi}{2}x[/imath]

Now our goal is to find the constants [imath]A_k[/imath] and [imath]B_k[/imath]. We will rewrite our boundary conditions in such a way that we can define some functions.

[imath]u'(0,y) = F(y) = (0, -[u(0,y) - 70])[/imath]
[imath]u(1,y) = G(y) = (0, 0)[/imath]
[imath]u(x,0) = F(x) = (0, 0)[/imath]
[imath]u(x,1) = G(x) = (100, 0)[/imath]

This means:

[imath]F(y) = -[u(0,y) - 70][/imath]
[imath]G(y) = 0[/imath]
[imath]F(x) = 0[/imath]
[imath]G(x) = 100[/imath]

Now the constants [imath]A_k[/imath] and [imath]B_k[/imath] are defined like this:

[imath]\displaystyle A_k = \int_{0}^{1} F(x) \cos\frac{(2k-1)\pi}{2}x \ dx[/imath]

[imath]\displaystyle B_k = \frac{1}{\sinh \frac{(2k-1)\pi}{2}}\left(\int_{0}^{1}G(x)\cos\frac{(2k-1)\pi}{2}x \ dx - A_k\cosh \frac{(2k-1)\pi}{2}\right)[/imath]

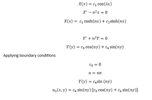
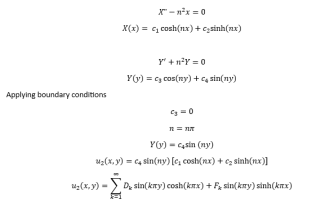
After that, you have to solve for [imath]\lambda = -n^2 < 0.[/imath]

[imath]X''- n^2 X = 0[/imath]

[imath]Y'' + n^2 Y = 0[/imath]
[imath]Y(0) = 0[/imath]
[imath]Y(1) = 0[/imath]

Solve them and apply the given boundary conditions.
 
Last edited:
Great.

Now let us apply the boundary conditions:

[imath]\displaystyle F(y) = u'(0,y) = \sum_{k=1}^{\infty}k\pi F_k\sin k\pi y[/imath]


[imath]\large F_k[/imath]

[imath]\displaystyle F_k = \frac{\int_{0}^{1} F(y)\sin k\pi y \ dy}{k\pi \int_{0}^{1}\sin^2 k\pi y \ dy}[/imath]


[imath]\displaystyle G(y) = u(1,y) = \sum_{k=1}^{\infty} (D_k\cosh k\pi + F_k \sinh k\pi)\sin k\pi y[/imath]

[imath]\large D_k[/imath]

[imath]\displaystyle D_k = \frac{\int_{0}^{1}G(y)\sin k\pi y \ dy - F_k \sinh k\pi\int_{0}^{1}\sin^2 k\pi y \ dy}{\cosh k\pi \int_{0}^{1}\sin^2 k\pi y \ dy} [/imath]


When I found [imath]A_k[/imath] and [imath]B_k[/imath], I assumed that [imath]\displaystyle \int_{0}^{1}\cos^2 \frac{(2k-1)\pi}{2}x \ dx = 1[/imath].


In fact [imath]\displaystyle \int_{0}^{1}\cos^2 \frac{(2k-1)\pi}{2}x \ dx \neq 1[/imath], so I will correct the calculations.


[imath]\displaystyle F(x) = u(x,0) = \sum_{k=1}^{\infty} A_k\cos \frac{(2k-1)\pi}{2}x[/imath]


[imath]\displaystyle \int_{0}^{1} F(x) \cos \frac{(2k-1)\pi}{2}x \ dx = A_k\int_{0}^{1}\cos^2 \frac{(2k-1)\pi}{2}x \ dx[/imath]


[imath]\large A_k[/imath]

[imath]\displaystyle A_k = \frac{\int_{0}^{1} F(x) \cos \frac{(2k-1)\pi}{2}x \ dx}{\int_{0}^{1}\cos^2 \frac{(2k-1)\pi}{2}x \ dx} [/imath]


[imath]\displaystyle G(x) = u(x,1) = \sum_{k=1}^{\infty}\left(A_k \cosh \frac{(2k - 1)\pi}{2} + B_k \sinh \frac{(2k - 1)\pi}{2}\right)\cos \frac{(2k - 1)\pi}{2}x[/imath]


[imath]\displaystyle \int_{0}^{1} G(x) \cos \frac{(2k - 1)\pi}{2}x \ dx = \left(A_k \cosh \frac{(2k - 1)\pi}{2} + B_k \sinh \frac{(2k - 1)\pi}{2}\right)\int_{0}^{1}\cos^2 \frac{(2k - 1)\pi}{2}x \ dx[/imath]



[imath]\displaystyle \int_{0}^{1} G(x) \cos \frac{(2k - 1)\pi}{2}x \ dx - A_k \cosh \frac{(2k - 1)\pi}{2}\int_{0}^{1}\cos^2 \frac{(2k - 1)\pi}{2}x \ dx= B_k \sinh \frac{(2k - 1)\pi}{2}\int_{0}^{1}\cos^2 \frac{(2k - 1)\pi}{2}x \ dx[/imath]


[imath]\large B_k[/imath]

[imath]\displaystyle B_k = \frac{\int_{0}^{1} G(x) \cos \frac{(2k - 1)\pi}{2}x \ dx - A_k \cosh \frac{(2k - 1)\pi}{2}\int_{0}^{1}\cos^2 \frac{(2k - 1)\pi}{2}x \ dx}{\sinh \frac{(2k - 1)\pi}{2}\int_{0}^{1}\cos^2 \frac{(2k - 1)\pi}{2}x \ dx}[/imath]
 
Interesting. So F(y) contains the function at x = 0.

u(0,y)

To evaluate one would have to take the entire function u(x,y) and input back in at F(y) when x = 0.
 
Interesting. So F(y) contains the function at x = 0.

u(0,y)

To evaluate one would have to take the entire function u(x,y) and input back in at F(y) when x = 0.
[imath]F(y)[/imath] is the derivative of [imath]u(x,y)[/imath] at [imath]x = 0[/imath].
 
[imath]F(y)[/imath] is the derivative of [imath]u(x,y)[/imath] at [imath]x = 0[/imath].
Yes, but I'm confused in how I can evaluate u(x,y)

The integral Fk requires me to input u(0,y) and integrating. But u(0,y) also contains u(0,y).
 
Top