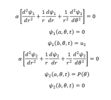
[imath]F(y)[/imath] depends on [imath]u(0,y)[/imath]. And since [imath]u(0,y)[/imath] is unknown function, you cannot evaluate. You can only write the general solution of the PDE. If they want you to evaluate [imath]F_k[/imath], they must give the value of [imath]u(0,y)[/imath].Yes, but I'm confused in how I can evaluate u(x,y)
The integral Fk requires me to input u(0,y) and integrating. But u(0,y) also contains u(0,y).
For example, if they tell you that:
[imath]u(0,y) = 5y[/imath]
Then,
you can solve [imath]F_k[/imath] and any other constants that depend on [imath]F_k[/imath].
It is not the end of the world. You can play around by choosing any value for [imath]u(0,y)[/imath] and solve [imath]F_k[/imath] if you want. Who will stop you?

Last edited: